- GPI-Space is a workflow management system, created and successfully applied to problems in high performance numerical simulation
by the Competence Center High Performance Computing of Fraunhofer
ITWM. We combine Singular with GPI-Space to create a way of
performing massively parallel computations in computer algebra.
- Our approach is based on the idea of separating
computation and coordination. While Singular is used as the
computational backend, the coordination is done by GPI-Space.
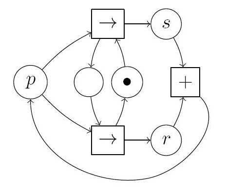
- GPI-Space uses the language of Petri nets to model algorithms
in the coordination layer.
- The Singular/GPI-Space framework can be used on anything
ranging from a personal computer and compute servers to ultrascale
machines. In applications, it scales efficiently up to thousands of cores on HPC
clusters.
- Applications arise, so far, from algebraic geometry (certifying
smoothness, resolution of singularities), tropical geometry
(computing of tropicalizations with finite symmetries), geometric invariant theory
(computing GIT-fans with finite symmetries), high
energy physics (computing integration-by-parts identities for
Feynman integrals), and condensed matter physics.
- While relying on GPI-Space allows us
to apply state-of-the-art parallelization infrastructure when
using Singular, our
close collaboration has, in turn, also lead to introducing new programming
constructs in GPI-Space, and to developing an open source version of GPI-Space.
- An Open
Source Version of GPI-Space has been released
by ITWM in Sept. 2020 (this software is actively being tested on CentOS
Linux (Versions 6, 7, 8) and Ubuntu
(Versions 18.04 LTS, 20.04 LTS), but various other distributions
will work as well). A first end user version of the Singular/GPI-Space
Framework has been released in Dec. 2020,
see Download. In
the future we will gradually add more of our code
to this version, and of course develop new features.
- The Singular/GPI-Space framework
code base is currently migrating to the supercomputing
package manager Spack, which provides an easy one-line
installer experience in any environment from a personal computer
to a supercomputer setting. Our repository with Spack packages
currently provides some of our applications, e.g., pfd-parallel,
and all dependencies including Singular, GPI-Space, GPI-2 and
Flint.
- Future plans include connecting GPI-Space to the evolving system OSCAR, which builds on and extends the four cornerstone systems GAP, Singular, polymake, and Antic.
Supported by
DFG SFB-TRR
195 and Forschungsinitiative
Rheinland-Pfalz.
|

|