|
|
Singular/GPI-Space Framework
|

|
|
|
|
Applications
|
|
|
modular
|
|
|
|
|
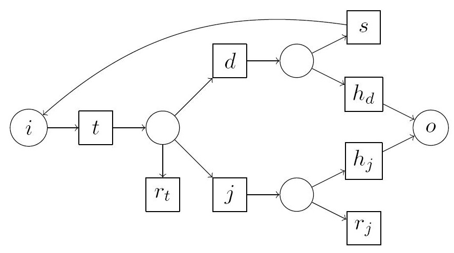
Computations over the rational numbers often encounter the problem of
intermediate coefficient growth. A solution to this is provided by
modular methods, which apply the algorithm under consideration modulo a
number of primes and then lift the results to the rationals. In arxiv.org/abs/2401.11606,
we present a
novel, massively parallel framework for modular computations with
polynomial data, which is able to cover a broad spectrum of applications
in commutative algebra and algebraic geometry. We demonstrate the
framework's effectiveness in Groebner basis computations over the
rationals and algorithmic methods from birational geometry. In
particular, we develop algorithms to compute images and domains of
rational maps, as well as determining invertibility and computing
inverses.
Our implementation modular-gspc is based on the Singular/GPI-Space framework,
which uses the computer algebra system Singular as computational
backend, while coordination and communication of parallel computations
is handled by the workflow management system GPI-Space, which relies on
Petri nets as its mathematical modeling language. Convenient
installation is realized through the package manager Spack. Relying on
Petri nets, our approach provides automated parallelization and
balancing of the load between computation, lifting, stabilization
testing, and potential verification. We use error tolerant rational
reconstruction to ensure termination as long as for a fixed computation
there exist only finitely many bad primes. Via stabilization testing,
our approach automatically finds with high probablity a minimal set of
primes required for the successful reconstruction.
We present timings to illustrate the potential for a game changing
improvement of performance over previous modular and non-modular
methods. In particular, we illustrate that the approach scales very well
with the number of processor cores used for the computation
This paper is joint work with Dirk
Basson, Magdaleen
Marais, Mirko
Rahn, and Patrick
Hobihasina Rakotoarisoa.
|
|
|
|
|
pfd-parallel
|
|
|
|
|
We develop a large scale parallel
implementation of our improved Leinartas' algorithm, based on the Singular/GPI-Space framework
in form of the application pfd-parallel.
We provide a one-line installer based on the supercomputing
package manager Spack.
Relying on Petri nets, we use an intertwined
form of parallelism mixing parallelism over the entries of the IBP matrix
and internal parallelism within the entries. We demonstrate our method by
the reduction of two-loop five-point Feynman integrals with degree-five
numerators, with a simple and sparse IBP system. The analytic reduction result
is greatly simplified to a usable
form, with a compression ratio of two order of magnitudes. We further discover
that the compression ratio increases with the complexity of the Feynman
integrals. See here
for the analytic result.
The approach is described in arxiv.org/abs/2104.06866.
Janko
Böhm, Dominik
Bendle, Murray
Heymann, Mirko
Rahn, Lukas
Ristau, Marcel Wittmann, Zihao Wu, Yingxuan Xu
and Yang Zhang
|
|
|
|
|
gitfan-parallel
|
|
|
|
|
In computational algebraic geometry, fan traversals frequently occur at the
interplay of algebraic and combinatorial constructions.
We design and implement
a massively parallel approach to fan traversals. For
torus actions on affine varieties, we implement a massively
parallel algorithm for computing the associated GIT-fan.
Our fan traversal forms one key substep of this algorithm,
which in addition exploits symmetries of the problem.
The current version of the code under development is
available here.
Janko
Böhm, Anne
Frühbis-Krüger, Christian
Reinbold, and Mirko
Rahn.
|
|
|
|
|
tropicalgspc
|
|
|
|
|
|
|
|
|
feynmangspc |
|
|
|
|
We develop an algebro-geometrically motived integration-by-parts (IBP)
reduction method for multi-loop and multi-scale Feynman integrals, using a
framework for massively parallel computations in computer algebra. This
framework combines the computer algebra system Singular with the workflow
management system GPI-Space, which is being developed at the Fraunhofer
Institute for Industrial Mathematics (ITWM). In our approach, the IBP relations
are first trimmed by modern algebraic geometry tools and then solved by sparse
linear algebra and our new interpolation methods. These steps are efficiently
automatized and automatically parallelized by modeling the algorithm in
GPI-Space using the language of Petri-nets. We demonstrate the potential of our
method at the nontrivial example of reducing two-loop five-point nonplanar
double-pentagon integrals. We also use GPI-Space to convert the basis of IBP
reductions, and discuss the possible simplification of IBP coefficients in a
uniformly transcendental basis.
The approach is described in arxiv.org/abs/1908.04301
(Journal
of High Energy Physics 02 (2020) 79, 34 pp)
and arxiv.org/abs/2010.06895
(to appear in PoS
(Proceedings
of Science), Proceedings of "MathemAmplitude 2019"
in Padova, Italy).
Dominik
Bendle, Janko
Böhm, Wolfram
Decker, Alessandro Georgoudis,
Franz-Josef Pfreundt,
Mirko
Rahn, Pascal Wasser, and Yang Zhang.
|
|
|
|
|
smoothtestgspc |
|
|
|
|
|
|
|