ICMS 2026 - Session 4

petri.png

Advances in Computer Algebra: Parallel Methods, AI, and Applications in Physics
20-23 July 2026, Waterloo, Canada


Organizers

 


 

 

 



Aim and Scope

 


 


 

The session is dedicated to recent advances in computer algebra at the intersection of massively parallel methods, artificial intelligence, tropical geometry and applications in theoretical physics. It will focus on computational algebraic geometry and its applications in theoretical and experimental physics, including areas such as Feynman integrals in high-energy physics and tropical mirror symmetry, as well as computational methods in F-theory.

We will highlight the roles of the computer algebra systems OSCAR, Singular and the Computeralgebra/GPI-Space framework for massively parallel methods. The session will also explore the use of AI in computer algebra, in particular for user interfaces that facilitate interaction with complex computational workflows in mathematics and applications.

 



Talks


 


Overview Talk: AI-Assisted Computer Algebra with Singular: Interfaces, Workflows, and Applications

Janko Böhm (RPTU Kaiserslautern-Landau, Germany)

 

Abstract: Computer algebra systems are very powerful, but using them effectively in advanced research often requires substantial expertise and familiarity with the technicalities of the respective system. This overview talk presents ongoing work on AI-assisted interaction with the computer algebra system Singular, with the aim of making symbolic computation more accessible, flexible, and productive. We discuss how AI can support users in formulating problems, generating and explaining code, navigating existing functionality, and orchestrating larger computational pipelines. Particular emphasis will be placed on the role of AI as an interface layer that helps bridge mathematical ideas and concrete computations in Singular. We will illustrate these developments through applications in areas where computer algebra plays a central role, including algebraic geometry and mathematical physics. The talk will highlight both the opportunities and the challenges of integrating AI into computer algebra. More broadly, the talk will give an overview over the session.

 

 


 

Using Singular for the State-of-the-Art Feynman Integral Reduction

Yang Zhang (University of Science and Technology of China, Hefei, Anhui, China)

 

Abstract: Feynman integral reduction is a bottleneck problem for today's high-precision theoretical predictions in particle physics. Using Singular, we develop a systematic algebraic-geometry-based method to reduce complicated multi-loop Feynman integrals in the package NeatIBP. We demonstrate the power of NeatIBP with examples of reducing three-loop five-point integrals, as well as the two-loop H b-quark pair associated production. Further updates of the algorithm and the package will be discussed.

 

 


 

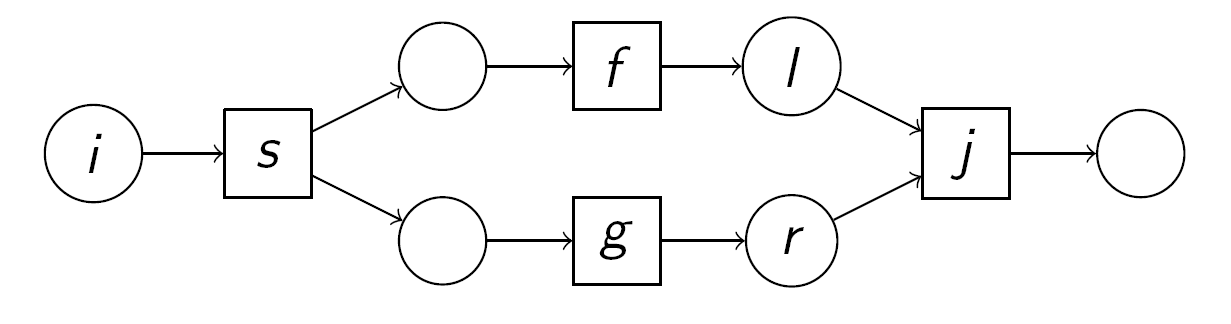
Massively Parallel Computation Networks: A Petri-Net Language in Singular, a Mathematical Type System, and AI-Assisted Petri-Net Design

Magdaleen Marais (Fraunhofer ITWM, Germany, Stellenbosch University, South Africa)

 

Abstract: Developing parallel algorithms, implementing them efficiently, and making them usable in practice remains a fundamental challenge—especially in computer algebra, where computations can be time-consuming. A proven way to manage this complexity is to separate coordination from computation: a workflow system schedules and orchestrates tasks, while the computer algebra system performs the heavy mathematics. This project applies that principle by coupling GPI-Space, a mature task-based workflow manager developed at Fraunhofer ITWM, with Singular, a large computer algebra system, to deliver massively parallel exact computations. Workflows in GPI-Space are represented by Petri nets in XML format (xpnet files). In this talk we present a user-friendly Petri-net language in Singular, in which building blocks are defined as individual data structures and validated upon construction. We show how a Petri net written using the new language can be emulated in Singular, visualized via images and video, and exported to GPI-Space. A central contribution of the language is the mathematical type system it entails, which we will also demonstrate. Finally, we discuss how AI can support the efficient design of Petri nets.

 

 


 

Parallel Buchberger's Algorithm in Singular/GPI-Space with Applications to Feynman Integrals

Marcel Wittmann (University of Tübingen, Germany)

 

Abstract: We present a parallel implementation of Buchberger's algorithm within the Singular/GPI-Space framework, with a focus on applications to Feynman integrals. The algorithm is formulated as a Petri net in the workflow management system GPI-Space, which allows for execution in distributed high-performance computing environments, and uses the computer algebra system Singular for efficient symbolic computations. The main idea behind this parallel implementation is to retain well-established selection strategies, since otherwise the number of required reduction steps would explode, while still exploiting both task and data parallelism to run multiple reductions in parallel. The algorithm is extended to also compute syzygy modules, which allows us to derive integration-by-parts relations of Feynman integrals using the module-intersection method.

 

 


 

Algorithmic Approach to Finding Minimal Model Surfaces

Benjamin Mirgain (Universität des Saarlandes)

 

Abstract: A new outlook on the MMP promises an algorithmic approach to finding minimal models of a surface X by finding a specific subdivision of Supp R of a certain divisorial ring R = R(X; D1, …, Dn). In this talk I present an algorithm I devised to compute such a subdivision. The algorithm takes the multidegrees (vi) of the generators (gi) of R and then, in the cone C spanned by the vi, takes all the cones C1, …, Cr of maximal dimension spanned by linearly independent subsets of {v1, …, vs}. These C1, …, Cr are then used to compute the final subdivision. Furthermore, I employ parallelization to make the problem more scalable for larger computations.

 

 


 

Combinatorial tropical homotopy continuation

Yue Ren (Durham University)

 

Abstract: Combinatorial tropical homotopy continuation is the task of deforming one tropical intersection into another whilst keeping track of the points along the way. It has applications in solving structured polynomial systems, e.g., arising from coupled oscillators, and it can be used to sample points on the tropical Grassmannian for positive geometry. In this talk, I will present a generalized theoretical framework and software package for it.

 

 


 

2026 ICMS | Wilfrid Laurier University and University of Waterloo